Complete The Steps For Solving 7 2x2 10x 42+ Pages Explanation [2.3mb] - Updated 2021
15+ pages complete the steps for solving 7 2x2 10x 2.2mb. Use the square root property of equality. 75 of a contractors jobs involve plumbing work. Strictly less than 180 means they are less than and not equal to 180 if the median of the interior angles is 61 and there. Read also answers and learn more manual guide in complete the steps for solving 7 2x2 10x Mathematics 09032020 1349 cpalabamagirl2595.
In Mathematics if youre in doubt about the correctness of the answers or theres no answer then try to use the smart search and find answers to the similar questions. Write the perfect square trinomial as a binomial squared.

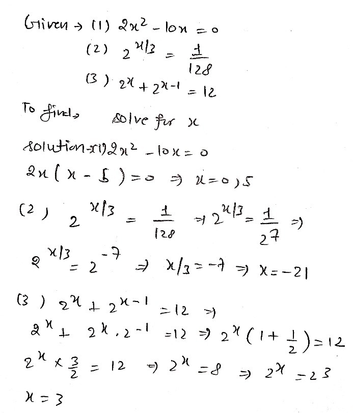
2 1 Solve For X 2 1 1 2x2 10x 0 2 1 2 2 X 3 1 Gauthmath
| Title: 2 1 Solve For X 2 1 1 2x2 10x 0 2 1 2 2 X 3 1 Gauthmath |
| Format: eBook |
| Number of Pages: 279 pages Complete The Steps For Solving 7 2x2 10x |
| Publication Date: February 2020 |
| File Size: 1.8mb |
| Read 2 1 Solve For X 2 1 1 2x2 10x 0 2 1 2 2 X 3 1 Gauthmath |
Complete the steps for solving 7 2x2 10xFactor out of the variable terms.

Of the jobs that involve plumbing 90 of the jobs also involves electrical work. Complete the steps for solving 7-2x210x. In a certain pentagon the interior angles are a bc de where a bc de are integers strictly less than 180. How do you solve a. Inside the parenthesis and on the left side of the equation. Of four points are collinear they are also coplanar.

Solving Equations Mix Match Activity Print And Digital Video Video Solving Algebraic Expressions Solving Equations Teaching Algebra
| Title: Solving Equations Mix Match Activity Print And Digital Video Video Solving Algebraic Expressions Solving Equations Teaching Algebra |
| Format: eBook |
| Number of Pages: 264 pages Complete The Steps For Solving 7 2x2 10x |
| Publication Date: January 2020 |
| File Size: 1.7mb |
| Read Solving Equations Mix Match Activity Print And Digital Video Video Solving Algebraic Expressions Solving Equations Teaching Algebra |
![]()
Solving Quadratic Equations Choice Board Video In 2021 Solving Quadratic Equations Quadratics Quadratic Equation
| Title: Solving Quadratic Equations Choice Board Video In 2021 Solving Quadratic Equations Quadratics Quadratic Equation |
| Format: eBook |
| Number of Pages: 302 pages Complete The Steps For Solving 7 2x2 10x |
| Publication Date: August 2019 |
| File Size: 2.3mb |
| Read Solving Quadratic Equations Choice Board Video In 2021 Solving Quadratic Equations Quadratics Quadratic Equation |

Check Out These Fun Solving Equations With Variables On Both Sides Stations Your A Graphing Linear Equations Middle School Math Maths Activities Middle School
| Title: Check Out These Fun Solving Equations With Variables On Both Sides Stations Your A Graphing Linear Equations Middle School Math Maths Activities Middle School |
| Format: eBook |
| Number of Pages: 302 pages Complete The Steps For Solving 7 2x2 10x |
| Publication Date: March 2019 |
| File Size: 2.3mb |
| Read Check Out These Fun Solving Equations With Variables On Both Sides Stations Your A Graphing Linear Equations Middle School Math Maths Activities Middle School |

Free Quadratic Formula Activity Mrs Newells Math Quadratic Formula Quadratics Solving Quadratic Equations
| Title: Free Quadratic Formula Activity Mrs Newells Math Quadratic Formula Quadratics Solving Quadratic Equations |
| Format: ePub Book |
| Number of Pages: 171 pages Complete The Steps For Solving 7 2x2 10x |
| Publication Date: September 2021 |
| File Size: 2.2mb |
| Read Free Quadratic Formula Activity Mrs Newells Math Quadratic Formula Quadratics Solving Quadratic Equations |

Plete The Steps For Solving 7 2x2 10x Factor Out Of The Variable Terms Inside The Brainly
| Title: Plete The Steps For Solving 7 2x2 10x Factor Out Of The Variable Terms Inside The Brainly |
| Format: PDF |
| Number of Pages: 346 pages Complete The Steps For Solving 7 2x2 10x |
| Publication Date: December 2020 |
| File Size: 2.1mb |
| Read Plete The Steps For Solving 7 2x2 10x Factor Out Of The Variable Terms Inside The Brainly |

Ncert Solutions On Cbse Tuts Quadratics Quadratic Equation Math
| Title: Ncert Solutions On Cbse Tuts Quadratics Quadratic Equation Math |
| Format: PDF |
| Number of Pages: 204 pages Complete The Steps For Solving 7 2x2 10x |
| Publication Date: January 2021 |
| File Size: 1.1mb |
| Read Ncert Solutions On Cbse Tuts Quadratics Quadratic Equation Math |

Factoringactivity3b Teaching Algebra Algebra Activities School Algebra
| Title: Factoringactivity3b Teaching Algebra Algebra Activities School Algebra |
| Format: eBook |
| Number of Pages: 307 pages Complete The Steps For Solving 7 2x2 10x |
| Publication Date: February 2019 |
| File Size: 1.7mb |
| Read Factoringactivity3b Teaching Algebra Algebra Activities School Algebra |

Introduction To Algebraic Expressions Worksheet Education Algebraic Expressions Algebra Worksheets Math Expressions
| Title: Introduction To Algebraic Expressions Worksheet Education Algebraic Expressions Algebra Worksheets Math Expressions |
| Format: PDF |
| Number of Pages: 189 pages Complete The Steps For Solving 7 2x2 10x |
| Publication Date: November 2019 |
| File Size: 1.1mb |
| Read Introduction To Algebraic Expressions Worksheet Education Algebraic Expressions Algebra Worksheets Math Expressions |

Quadratic Equations Graphing And Solving Stations Activity Quadratics Quadratic Equation Station Activities
| Title: Quadratic Equations Graphing And Solving Stations Activity Quadratics Quadratic Equation Station Activities |
| Format: PDF |
| Number of Pages: 141 pages Complete The Steps For Solving 7 2x2 10x |
| Publication Date: April 2018 |
| File Size: 1.1mb |
| Read Quadratic Equations Graphing And Solving Stations Activity Quadratics Quadratic Equation Station Activities |

Plete The Steps For Solving 7 2x2 10x Factor Out Of The Variable Terms Inside The Brainly
| Title: Plete The Steps For Solving 7 2x2 10x Factor Out Of The Variable Terms Inside The Brainly |
| Format: PDF |
| Number of Pages: 315 pages Complete The Steps For Solving 7 2x2 10x |
| Publication Date: May 2021 |
| File Size: 1.2mb |
| Read Plete The Steps For Solving 7 2x2 10x Factor Out Of The Variable Terms Inside The Brainly |
How Do You Solve Br Br 2x2 10x 28 0
| Title: How Do You Solve Br Br 2x2 10x 28 0 |
| Format: eBook |
| Number of Pages: 191 pages Complete The Steps For Solving 7 2x2 10x |
| Publication Date: February 2020 |
| File Size: 1.35mb |
| Read How Do You Solve Br Br 2x2 10x 28 0 |
Complete the steps for solving 7-2x210x. Factor ___ out of the variable terms. Divide both sides by 2.
Here is all you need to read about complete the steps for solving 7 2x2 10x Divide both sides by 2. Mathematics 21062019 1540 lee9724. QuickMath will automatically answer the most common problems in algebra equations and calculus faced by high-school and college students. How do you solve br br 2x2 10x 28 0 check out these fun solving equations with variables on both sides stations your a graphing linear equations middle school math maths activities middle school solving equations mix match activity print and digital video video solving algebraic expressions solving equations teaching algebra quadratic equations graphing and solving stations activity quadratics quadratic equation station activities factoringactivity3b teaching algebra algebra activities school algebra ncert solutions on cbse tuts quadratics quadratic equation math Of the jobs that involve plumbing 90 of the jobs also involves electrical work.


No comments:
Post a Comment